王元(1930—2021)
王元,江苏镇江人,1930年4月29日出生于江苏兰溪,1952年毕业于浙江大学数学系,经陈建功、苏步青推荐到中国科学院数学研究所工作,跟随华罗庚研究数论,曾任数学所所长、中国数学会理事长。1980年当选为中国科学院学部委员(院士)。2021年5月14日因病医治无效,在北京逝世,享年91周岁。

  王元,数学家。在数论及其应用方面作出了重要成绩,特别是在哥德巴赫猜想方面。并与华罗庚和方开泰先后合作,将数论方法用于近似积分与试验设计。在数学史方面做过有广泛影响的工作。

  王元于1930年4月30日出生于浙江省兰溪县。他的父亲王懋勤当时任兰谿县县长。抗日战争开始后,举家迁往四川,居于重庆江北县悦来场乡下,家庭生活颇难。王元的小学就是在战乱与艰难的环境中,在农村小学中度过的。
  1942年,王元小学毕业,考取了位于合川县的国立第二中学。那时他的父亲出任中央研究院总办事处主任秘书。1946年,他随家一起回到南京,转入社教附中就读高中二年级,一年后学校改名为南京市立六中。
  1948年,王元高中毕业,考取位于浙江金华的英士大学数学系。1949年,他随英士大学并入浙江大学数学系就读。浙江大学是我国著名数学家陈建功与苏步青教授多年执教的地方。特别是他们倡导的高年级学生读书讨论班,对于培养学生的独立工作能力很有帮助,浙大数学系的良好环境培育了王元对数学的浓厚兴趣。大学四年级时,王元在读书讨论班上报告了A.E.英厄姆(Ingham)的“素数分布论”(The distribution of primenumbers,Camb,Tracts30,1932),解析数论的优美深深地吸引着他。
  1952年,王元以优良的成绩从浙大毕业。在陈建功与苏步青教授的推荐下,由政府分配到中国科学院数学研究所工作。一年后,他被分配到数论组,在华罗庚教授指导下,研究解析数论。王元在数论组很快显示出数学才能。1954年,波兰数学家K.库拉托夫斯基(Kuratowski)来华访问,带来了W.西尔宾斯基(Sierpinski)与A.辛哲尔(Schingel)关于数论函数的论文。王元对这些工作作了一些改进,他的处女作就是与辛哲尔合作的《关于函数φ(n),σ(n)与θ(n)若干性质的一个注记》,并在波兰发表。以后他就致力于筛法与哥德巴赫(Goldbach)猜想的研究,并于1957年证明(2,3),即每个充分大的偶数都是一个不超过2个素数之积与一个不超过3个素数之积之和。
  1958年,华罗庚与王元一起合作研究数论方法在近似分析中的应用,特别是高维空间的数值积分问题。他们建立了基于经典代数数论与丢番图(Diophantus)逼近论的高维积分近似计算方法,他们的这一合作延续了20年。
  1966年,“文化大革命”中断了王元的工作,他受到了错误的批判与不公正的待遇。1972年,王元恢复了他的数学研究工作,此后他从事代数数域上的丢番图方程与不等式的研究及与方开泰教授一起研究数论方法在统计中的应用。1985年以后,王元还从事中国近代数学史的研究。
  1978年以后,王元致力于撰写一些专著,计有:《数论在近似分析中的应用》(1978,与华罗庚合作),《哥德巴赫猜想》(1984),《在中华人民共和国普及数学方法的个人体会》(1989,与华罗庚合作),《代数数域上的丢番图方程与不等式》(1991),《统计中的数论方法》(1994,与方开泰合作),《华罗庚》(1995)与《微积分》(1997年与方源合作)。
  由于王元在数学上的成就,他于1978年被提升为中国科学院数学研究所研究员,1980年被选为中国科学院学部委员(院士)。王元得到过国家自然科学一等奖(与陈景润、潘承洞一起)、陈嘉庚物质科学奖(与华罗庚一起)及何梁何利数学奖。
  王元于1984至1987年任中国科学院数学研究所所长。1988至1992年任中国数学会理事长。1986年以后任全国政协委员。
  王元于1967年与郭宝文女士结婚,他们有两个儿子。
  
学术成就
  一、数论
  1.筛法与哥德巴赫猜想
  哥德巴赫猜想是1742年哥德巴赫在与L.欧拉(Euler)通信中提出来的,可以表述为:
  (A)每个偶数>5都是两个奇素数之和。
  (B)每个奇数>8都是三个奇素数之和。
  显然由(A)可以推出(B)。这一问题至今仍未解决。直到20世纪20年代,由于圆法与筛法的产生,才使这个问题的研究有了一些好的结果。
  筛法起源于古老的“埃拉托色尼(Eratosthenes)筛法”。V.布伦(Brun)于1919年对它作出了重要改进,并且用于猜想(A);他证明了(9,9),即每个大偶数都是两个素因子个数均不超过9的整数之和,类似地可以定义(a,b)。布论之后,又出现了其他一些关于筛法的改进。例如A.塞尔伯格(Selberg)筛法(1947),A.A.布赫夕塔布(Buchstab)恒等式(1937)及P.库恩(Kuhn)加权筛法(1954)等。至1954年,最好的结果为(4,4)(布赫夕塔布,1940)与(a,b)(a+b≤6)(库恩,1954)。
  综合上述方法,王元于1956年与1957年分别证明了:
  (3,4)(1956),(2,3)(1957)    (1)
  筛法可以简单叙述如下:考虑集合Pα={m:1≤m<n,p|m(n-m)⇒p>n1/α},此处α≥2,n为偶数及p表示素数,若能证明当l为正整数且当n充分大时有Pl+1>0,则得(l,l),再考虑Qα={q:1<q<n,p|(n-q)⇒p>n1/α},此处q表示素数,则由Ql+1>0就导出(1,l)。
  首先是T.埃斯特曼(Estermann)于1932年在广义黎曼(Riemann)猜想(GRH)之下证明了:每个大偶数都是一个素数与一个不超过6个素数之积之和。简单记为(1,6)R。
  王元将埃斯特曼的结果改进为:
  (1,4)R(1956),(1,3)R(1957)    (2)
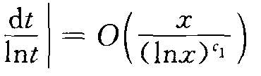
  利用布伦筛法,素数分布理论与Yu.V.林尼克(Linnik)大筛法,A.瑞尼(Renyi)于1948年证明了(1,c),此处c是一个常数。瑞尼定理的证明中隐含了下面的中值公式:存在δ>0,使
  ,
  此处c1≥6为一个常数,φ(k)表示欧拉函数及其中p过素数≤x,若将(Mδ)中的k的范围扩大至x1/2-ε,其中ε为任意正数,则(Mδ)就可以用来代替(1,3)R证明中的(GRH)。M.B.巴尔巴恩(Barban)与潘承洞分别在1961年与1962年独立地证明了(Mδ),其中δ=1/6-ε与δ=1/3-ε。潘承洞并由他的推出了(1,5),以后他们又独立得出(Mδ),其中并推出(1,4)。
  王元指出由潘承洞的(Mδ)即可推出(1,4)。
  以后,E.邦别里(Bombieri)与A.I.维诺格拉多夫(Vinogradov)于1965年分别证明瑞尼公式中k的范围可以扩大为k≤x1/2/(lnx)A与x1/2-ε,此处A>0为一个常数,从而由王元证明的(1,3)R的方法即推出(1,3)。1996年,陈景润改进了(1,3)R的方法并证明了(1,2),该结果被称为陈氏定理。1975年,王元与潘承洞、丁夏畦一起给出了陈氏定理的一个简化证明。
  王元还将他处理猜想(A)的方法用于小区间中殆素数的分布及{F(x):x=1,2,…,}中的殆素数分布问题,此处F(x)为一个整值多项式。所谓殆素数即素因子个数不超过一个固定常数的整数。我们常常用Pk表示素因子个数不超过k的殆素数。王元改进了以往的结果,特别地,他首次考虑了小区间中P2的分布。他证明了当x充分大时,有P2满足
  x<P2≤x+x10/17  (3)
  以后引起不少数学家对(3)进行改进。
  3.圆法与哥德巴赫猜想
  圆法起源于G.H.哈代(Hardy)与S.拉马努金(Ramanujan)关于整数分拆与表整数为平方和的一篇文章(1918),接着哈代与J.E.李特伍德(Littlewood)在一系列论文中系统地发展了一个新的分析方法——圆法,并用于G.华林(Waring)问题与哥德巴赫问题。他们在(GRH)之下,基本上证明了猜想(B),即每一个大奇数都是三个素数之和。基于素数变数三角和的天才估计,I.M.维诺格拉多夫(Vinogradov)于1937年取消了哈代与李特伍德关于猜想(B)证明中的(GRH)。
  林尼克于1951年将圆法用来处理小区间中的猜想(A),他的研究涉及密度猜想(DH):命0≤υ≤1/2及T>0,命N(T,u)表示ξ(s)在矩形
  
  中的零点个数,估计式
  (DH)N(T,v)≤cT1-2vln(T+2),0<v<1/2
  此即密度猜想,它是(RH)的推论,但至今尚未得到证明。1951年,林尼克在假定(DH)成立时证明了对于任何整数n与ε>0,皆存在素数p1,p2,使
  |n-p1-p2|≤c(ε)(lnn)7+ε
  其中c(ε)为依赖于ε的正常数,每次出现的值不一定相同。
  王元于1977年指出了林尼克结果的证明有错并给出了一个正确的证明,详细言之,在较(DH)更弱的假设
  (DH')N(T,v)≤c(ε)T1-2vln(T+2)
  
  之下,他证明了对于任何整数n,皆存在p1,p2,使
      (4)
  王元与单尊还证明了:命q,n为两个正整数满足q≤n/c(lnn)2及当q为偶数时,n亦为偶数,则在(GRH)之下,方程
  n=p1+p2+hq
  恒有解p1,p2,h,其中p1,p2为素数,h为整数,适合0≤h≤c(lnn)2,这是林尼克一个结果的改进,他原来结果中h的范围为0≤h≤c(ε)(lnn)6+ε(ε>0)。
  3.素数p的最小原根
  所谓模p之原根g即模p之缩系{1,2,…,p-1}的生成元。命g(p)表示模p之最小正原根,依·维诺格拉朵夫首先在1930年证明了:
  g(p)<2mp1/2lnp
  此处m=c0(p-1)表示p-1的互异素因子个数。其后,他将自己的结果改进为g(p)<2mp1/2lnlnp。华罗庚,P.爱尔迪希(Erdos)及爱尔迪希与H.N.夏皮罗(Shapiro)又进一步先后证明了 g(p)<2m+1p1/2,g(p)=O(p1/2ln17p)g(p)=O(mcp1/2)
  其中c及与O有关常数都是绝对常数。关于g(p)的下界估计,P.图兰(Turan)证明了g(p)=Ω(lnp)。而N.C.安琦尼(Ankeng)在(GRH)之下,证明了g(p)=O(2mln2pln2(2m2ln2p))。 利用D.A.伯吉斯(Burgess)方法,王元(1959)与伯吉斯(1962)独立地证明了
  g(p)≤c(ε)P1/4+ε  (5)
  王元(1959)又将安琦尼的结果改进为:在(GRH)之下有
  g(p)=O(m6ln2p)  (6)
  王元还改进了以往关于模p的最小n次非剩余及J.佩尔(Pell)方程最小解的估计。
  4.数论函数的分布
  1956年,王元与辛哲尔用布伦筛法证明了下面的结果:对于任何非负整数矢量=(a1,…,ah)及ε>0,皆存在整数n使
    (7)
  进而言之,存在常数c0(,ε)及X0(,ε),使当X>x0时,区间1≤n≤X中有多于c0X/(lnx)k+1个n适合(7)式。
  过去辛哲尔只能得到使(7)式成立的整数n的存在性,但不能得到满足(7)式的整数个数的估计。
  结合布伦筛法及林尼克-瑞尼大筛法,王元于1958年进一步证明了:对于任何非负矢量及ε>0,皆存在素数p使
   1≤υ≤h  (8)
  进而言之,存在常数c1(,ε)与X1(,ε),使当X>X1时,区间1≤n≤X中有多于c1X/(lnx)h+2lnlnx个素数适合(8)式。
  将欧拉函数换成其他数论函数仍有相应的结果。
  5.丢番图方程与不等式的最小解
  对于复矢量=(x1,…,x2),命||=|xi|,对于复系数型F,命|F|表示F的系数的最大绝对值。对于每一个k次型F,皆对应一个型(1,…,k),它关于每个i(1≤i≤k)都是线性的,且F()=(1,…,k)。
  W.M.施密特(Schmidt)于1980年证明了下述结果:给予整数h≥1,m≥1及奇数k1,…,kh与一个任意大的数E,皆存在
  c0=c0(k1,…,khj,…,E)
  使若M≥1及F1,…,Fh分别为=(x1,…,xs)的次数为k1,…,kh的实系数型,则当s≥c0时有m个右Zs上线性独立的点(1),…,(m),使
  | (i)|≤M,1≤i≤m
  及
  
  1≤j≤h,1≤i1,…,ikj≤m
  由此推出:给予h≥1,m≥1,奇数k1,…,kh及ε>0任意小,皆存在常数c1=c1(k1,…,kh;m;ε),使当G1,…,Gh分别为=(x1,xs)的次数为k1,…,kh的整系数型,此处s≥c1,则G1,…,Gh在m个整点(1),…,(m)张成的m维子空间上皆为零,此处
   1≤i≤m,
  G=max(1,|G1|,…,|Gh|)
  取一个型F=x21+…+xs2,即可知在施密特的上述结果中必须限制诸型的次数皆为奇数。王元考虑将型的丢番图不等式在全复代数数域中求解,从而取消了型的次数这一限制。详言之,命K为一个2r次全复代数数域,其整数环记为J,对于ξ∈K,命ξ(i)(1≤i≤2r)表示ξ的共轭数 及,当=(λ1,…,λs)时,命
  王元于1988年证明了下面的结果:给予正整数h,m及k1,…,kh,及一个任意大的整数E,皆存在常数
  c2=c2(k1,…,kh;m,r,E),
  使若M≥1及F1,…,Fh分别为=(λ1,…,λs)的次数为k1,…,kh的复系数型,此处s≥c2,则在Js中有m个线性独立点,(1),…,(m),满足
   1≤i≤m
  与
  
  1≤j≤h,1≤i1,…,ikj≤m
  由此也可以推出系数属于J型方程系的最小解的类似结果。
  关于模p的二次同余方程的最小解问题,D.R.希思-布朗(Heath-Brown)于1985年证明过:命Q()=Q(x1,…,x4)为整系数二次型,p为素数,则同余方程
  Q( )≡O(modp)
  有解 适合
  
  T.柯克朗(Cochrane)将上式的右端改进为 。这是最佳可能的结果。
  王元于1989年及1993年分别将上述结果推广至任意有限域。王元还研究了代数数域中同余方程组的最小解问题。
  二、近似分析与统计
  1.近似分析中的数论方法
  近似分析中的数论方法的理论基础为数论中H.韦尔(Wegl)的一致分布论。其要点为找出空间中较小偏差的点列,称为伪随机数,用它来代替蒙特卡罗方法中的随机数作统计模拟。所以这种方法又称为蒙特卡罗方法。其最成功的应用为高维定积分的近似计算法。
  假定f( )=f(x1,…,xs)为单位立方体 1,1≤i≤s}上定义的函数,我们要求定积分
  
  的近似值。不妨假定f()为Gs上的周期函数,且每个变数有周期1,假定f()有绝对收敛的傅里叶(Fourier)展开
  
  此处
  
  其中α>1及C>0为绝对常数。这种函数类记为Esα(C)。
  N.M.卡罗波夫(Korobov)(1959)与E.拉夫卡(Hlawka)(1962)独立地证明了对于素数p,存在整矢量 =(a1,…,as),使
  此处与O有关的常数仅依赖于α,s。这一方法的误差比一维古典方法的直接推广的误差O(n-α/s)与蒙特卡罗方法的概率误差O(1/ )要好得多,其中n表示求积公式所需的点数。但欲得到(p)的初等运算量为O(p)2,所以寻求一个依赖于分点个数N的整矢量 (N)是很重要的问题。 命Fn(n=0,1,…)为斐波那契(Fibonacci)数列,即由F0=F1=1,Fn+2=Fn+1+Fn(n≥0)定义的整数列,N.S.巴赫瓦洛夫(Bahvalov)(1959)与华罗庚及王元(1960)独立地证明了
  
  (9)
  而华罗庚与王元还证明了(9)式右端的ln3Fn/Fnα是最佳可能的结果。算出Fn所需的初等运算量仅为O(ln3Fn)。
  华罗庚与王元在一系列论文(1964—1974)中将他们的方法推广至s>2的情况。他们的方法基于由一个s次全实代数数域K的一组独立单位出发,构造出K的一组单位ηk(k=1,2,…)满足
   2≤i≤s
  假定K的基底为ωj(1≤j≤s),其中ωj(1≤j≤s-1)为无理数,则
   1≤j≤s-1
  都是有理整数,于是联立有理逼近
  ,1<j≤s-1
  命k=(1,h1,k1,…,hs-1,k),这就是nk所对应的整矢量。于是得求积公式
       (10)
  其中与O有关的常数依赖于ε,在此得到矢量k的计算量仅为O(lnnk)。在实际操作时,华罗庚与王元建议使用分圆域Q(cos2n/m)(m≥5)。华罗庚与王元关于(9)的另一推广基于雅可比-佩龙(Jacobi-Perron)算法。 命为实矢量,=(q1,…,qt)为整矢量及表示与的标量积。王元于1982年证明了下述结果:存在,使
       (11)
  对于一般的Esα(C)(α>1)亦有公式,但加权要复杂一些。当t=1时,已先后由巴赫瓦洛夫,C.B.哈塞尔格罗夫(Haselgrove),华罗庚与王元,卡罗波夫,H.尼德瑞特(Niederreiter)获得,有理形式的推广以后由I.H.斯龙(Sloan)得出(见I.H.SloanandS.Joe,LatticeMethodforMultipleIntegration,Qxford,1994)。 2.统计中的数论方法
  统计中的问题常常需要用到伪随机数小样本,王元与方开泰于1981年首先用数论方法找出一批小样本,即伪随机数,并用于试验设计问题。假定一个试验,共有s个因素,每个因素有q个水平,则共有qs种可能的s种因素的水平组合。让每个组合对应于Gs中的一个格点,数论方法为从这qs个格点中选出O(q)个点的集合υ,它们在Gs上有较小的偏差。可在υ的点上做实验,根据试验结果,用回归分析方法求得较好的组合,他们称这个方法为均匀设计。这比普通的正交设计所需的试验次数O(q2)有较大的减少。根据在中国工业部门中的应用,均匀设计方法所得到的结果的精密度是可以与正交设计相比的。
  将数论方法用于统计问题时,还需要有其他一些区域上的一致分布点列,即偏差较小的点列。王元与方开泰于1990年提出了一个程序,它由Gs上一个一致分布点集出发而得到
  As={:0≤x1≤x2≤…≤xs≤1},
  
  及
   ,xi≥0,1≤i≤s}
  上的一致分布点集。而且基本上可以得到
  ,xs=1,ai≤xi≤bi,1≤i≤s}
  上的一致分布点集,此处Ts-1(,)上的一致分布点集实际上对应于一般的混料试验设计。
  概率与矩的计算实际上就是多重积分近似计算。数论方法还可以用于统计中的最优化问题,多元分布代表点的寻求问题及统计推断问题等。
  三、其他工作
  1.正交拉丁方
  由(1,2,…,s)构成的s×s方阵,如果每个元素都在方阵的每一行与每一列中恰好出现一次,则称这种方阵为s阶的拉丁方。若将两个拉丁方重叠在一起,则上面拉丁方的每个元素恰与下面拉丁方的每个元素遇到一次,就称这两个拉丁方是正交的。命N(s)表示s阶的两两正交拉丁方的最大个数,欧拉曾猜想:当s>6及s≡2(mod4)时有N(s)=0,R.C.玻色(Bose),S.S.施里克汉德(Shrikhande)与E.T.帕克(Parker)对这一问题作出了重要贡献。他们在1960年反证了欧拉猜想。他们证明了,当s>6时有N(s)≥2,将他们的方法与布伦筛法结合起来,S.乔拉(Chowla),爱尔迪希与E.G.斯特劳士(Straus)首先给出了N(s)的下界估计:存在s0,当s>s0时有。王元于1964年将他们的结果改进为:存在s1,当s>s1时有
      (12)
  2.近代中国数学史
  王元撰写了《华罗庚》一书。该书除阐述中国近代最重要的数学家华罗庚的数学工作与生平外,还以华罗庚为中心,描写了中国数学从本世纪20年代由西方及日本引入及其发展的一些重要片断。该书已由国际著名出版社斯普林格出版社译成英文和日文出版。
  谦虚勤奋的学者
  王元属于新中国成立以后,在华罗庚教授亲自培养下成长起来的一代数学家,也是国际上公认以华罗庚为首的“中国数论学派”的重要成员。王元同时又是华罗庚的亲密合作者,他们的合作关系一直持续到华罗庚逝世。在这种合作过程中,王元以自己的独立观察能力和创造性劳动与老师的富有经验的指导高度配合默契。华罗庚生前在谈到华-王方法的产生时感慨而又风趣地说道:“我被王元拉上了一条路!”
  “勤奋出天才”,这也是王元的座右铭。他认为科学研究特别是基础研究在很大程度上依靠积累。在创立华-王方法的过程中,仅为掌握原先不熟悉的数学知识及为以后的工作做准备,王元所作读书笔记就达3400页之多,他从事科学研究而付出的辛劳由此可见一斑。
  王元是一位谦逊的学者。研究哥德巴赫猜想的经历使他深深体会到,科学研究好似攀登无限的梯级,一个人无论达到多高,也总是在前人的基础上前进。因此他说:“恰如其分地估计自己,不要过分陶醉于自己已经做了些什么,始终有个危机感,这样就永远不存在自满的可能性。”他认为,这种态度来源于对整个数学知识海洋的客观认识。
  王元的学术成就使他在国际数学界享有声誉。他被聘请担任世界科学出版社顾问、联邦德国《分析》杂志编委及施普林格《图论与组合》杂志编委,并先后应邀赴美、英、德、法、日、加拿大、新加坡、菲律宾、泰国、香港、澳门等国家和地区的大学与研究机构讲学。王元致力于推动我国与国际数学界的学术交往,为提高我国数学的国际地位而作出贡献。在他与杨乐的共同倡议和领导下,中国科学院数学所自1985年起成为可接待国内外访问学者的面向国际的开放型研究所;王元还成功地主持了“纪念华罗庚国际数论与分析会议”(1988);主编了介绍中国数论科研成就的英文文集《数论在中国》;作为中国科学家代表团成员,王元在1988年美国科学促进会旧金山会议上介绍了我国数论研究的发展。而据该促进会的调查报告,数论是中国荣居国际先进地位的4个突出的基础科学研究领域之一。
作者:李文林,袁向东

简历
1930年4月30日 出生于浙江省兰谿县。
1948—1952年 先后就读于英士大学数学系和浙江大学数学系,在浙江大学毕业。
1952—1998年 在中国科学院数学研究所工作。历任助理研究员、副研究 员和研究员 (1978)。
1980年 当选中国科学院学部委员 (院士)。
1984—1987年 任中国科学院数学研究所所长。
1988—1992年 任中国数学会理事长。
1986—2002年 任第6届至第9届全国政协委员。
1998年起 在中国科学院数学与系统科学研究院工作。

主要论著
1 王元. 表大偶数为一个不超过三个素数的乘积及一个不超过四个素数的 乘积之和. 数学学报,1956,6 (3)
2 Wang Yuan. On the representation of large even number as a sum of two almost-primes. Science Record (New Ser.),1957,1 (5)
3 Wang Yuan (ed.). Goldlbach conjecture. World Scientific,1984
4 华罗庚,王元. 关于多重积分的近似计算的若干注记. 科学记录, 1960,4 (1):6—8
5 华罗庚,王元. 数论在近似分析中的应用. 北京: 科学出版社,1978 (英文版: Applications of number theory to numerical analysis. SpringerVerlag and Science Press,1981)
6 K. T. Fang,Y. Wang. Number-theoretic methods in statistics. Chapman and Hall,1993
7 Wang Yuan. Bounds for solutions of additive equations in algebraic number field,Ⅰ ,Ⅱ. Acta Arithmetica,X L V Ⅲ,1987
8 Wang Yuan. Diophantine inequalities for forms in an algebraic number field. Journal of Number Theory,1988,29 (3)
9 Wang Yuan. Diophantine equations and inequalities. Springer-Verlag,1991
10 王元. 王元文集. 长沙: 湖南教育出版社,1999
11 王元. 华罗庚. 北京: 开明出版社,1998; 台湾: 九章出版社1995 (繁体字本); Springer-Verlag,1999 (英文版); 2000 (日文版)

参考文献
1 А. А. Бухштаб,Теория чисел,Москва,1960
2 Halberstam H,Richert H. Sieve methods. Academic Press,U. S. A. ,1974
3 Ribonboim P. The book of prime number records. Springer,1988
4 Grosswald E. Applications of number theory to numerical analysis by Loo-Keng Hua and Yuan Wang. Bull. Amer. Math. Soc. (New Series),1983,8 (3): 489—496

来源:中国科学技术协会 编;王元 主编.中国科学技术专家传略·理学编 数学卷 二.北京:中国科学技术出版社.2006.第343-358页.